IRR Là Gì? Chỉ Số IRR Bao Nhiêu Là Tốt?
Làm thế nào để đánh giá một dự án đầu tư có tính khả thi cao hay không? Chúng ta có thể dựa vào chỉ số IRR, đây là một chỉ số quan trọng giúp các nhà đầu tư có cái nhìn chính xác về dự án đầu tư, từ đó đưa ra quyết định có đầu tư hay không.
Vậy chỉ số IRR bao nhiêu là tốt? Hãy cùng Kế Toán Lê Ánh theo dõi bài viết sau để tìm câu trả lời nhé.
Nội dung bài viết:
1. IRR là gì? IRR là viết tắt của từ gì?
IRR được biết đến là một chỉ số có liên quan đến việc đánh giá và đo lường tính khả thi của một dự án đầu tư hay nói cách khác, IRR là một công cụ hữu hiệu giúp các nhà đầu tư nắm rõ về các dự án để đặt tiền đúng chỗ, giảm thiểu rủi ro.

IRR là từ viết tắt của Internal Rate of Return, nghĩa là tỷ suất hoàn vốn nội bộ, ngoài ra nó cũng được định nghĩa là tỷ lệ lợi nhuận. IRR được dùng trong việc xác định ngân sách vốn, so sánh lợi ích khi đầu tư.
2. Ưu và nhược điểm của chỉ số IRR là gì?
Ưu điểm của chỉ số IRR
- Chỉ số IRR khá dễ tính toán do nó độc lập với vốn
- Chỉ số IRR được sử dụng thuận tiện trong việc so sánh và đánh giá do IRR cho biết khả năng sinh lời của các dự án đầu tư tính theo giá trị phần trăm.
Nhược điểm của chỉ số IRR
- Chỉ số IRR chỉ nên dùng để đánh giá các dự án lớn, đối với các dự án nhỏ có thông số quá thấp sẽ khiến cho kết quả của chỉ số không khả thi, không thuyết phục. Do đó, khiến cho nhiều nhà đầu tư bỏ qua cơ hội đầu tư vào các dự án nhỏ nhưng chứa nhiều tiềm năng tốt.
- Chỉ số IRR dễ bị tác động bởi chỉ số thời gian, do vậy nhiều nhà đầu tư bị hiểu lầm rằng dự án ngắn hạn có giá trị IRR lớn là dự án có tính khả thi cao. Bởi thế nhà đầu tư cần lưu ý không phải lúc nào chỉ số IRR cao cũng là tốt, mà cần phải xem xét, cân nhắc các chỉ số khác như thời gian, dòng tiền,...
- Cần linh hoạt sử dụng chỉ số IRR và NPV, chỉ dùng chỉ số IRR để đánh giá các dự án có các điều kiện như sau: có tỷ lệ chiết khấu và dòng tiền tương lai tương đồng, có cùng thời gian thực hiện.
3. Vai trò của chỉ số IRR đối với doanh nghiệp
IRR nắm giữ vai trò quan trọng đối với mỗi doanh nghiệp bởi nó giúp đánh giá và đưa ra lời khuyên về tính khả thi của dự án:
- Dự án có chỉ số IRR lớn hơn tỷ lệ giới hạn định mức khả thi tài chính
- Trong các dự án có tỷ lệ khả thi không cao, ta có thể lựa chọn dự án có tỷ lệ IRR cao nhất.
Xem thêm:
- Phân loại tài khoản kế toán theo quan hệ với các chỉ tiêu trong báo cáo tài chính
- Khóa học tài chính cho người không chuyên
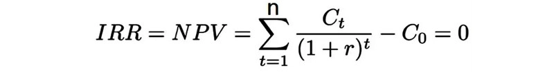
4. Cách tính chỉ số IRR
Công thức tính chỉ số IRR
 
Trong đó:
- NPV (Net Present Value) được hiểu là giá trị hiện tại thuần, đây là khái niệm có quan hệ mật thiết với IRR, nó dùng để lập số vốn và kế hoạch đầu tư chi tiết trong tương lai nhằm hạn chế tối đa rủi ro cũng như tìm kiếm con đường đem lại lợi nhuận cao nhất.
IRR là một giá trị chiết khấu làm cho NPV cũng như tất cả các dòng tiền đều đặn khác của dự án trở về con số 0. Hay nói cách khác IRR là giá trị của phương trình NPV bằng 0.
- t là thời gian để tính dòng tiền
- n là tổng thời gian thực hiện dự án
- r là tỷ lệ chiết khấu
- Ct là dòng tiền thuần tại một thời gian nhất định (t)
- C0 là chi phí ban đầu dùng để thực hiện dự án
Tỷ suất hoàn vốn càng cao thì khoản đầu tư càng được mong muốn thực hiện. IRR là chỉ số thống nhất đối với các khoản đầu tư đến từ nhiều loại khác nhau.
⇒ Chính vì thế mà IRR có thể được sử dụng để xếp hạng nhiều dự án tiềm năng hoặc nhiều khoản đầu tư trên cơ sở tương đồng. Tóm lại, khi đem các lựa chọn đầu tư lên bàn cân thì khoản đầu tư có IRR cao nhất sẽ được coi là tốt nhất.
Hướng dẫn tính IRR trong Excel
= IRR(values, guess)
Trong đó:
- Values là một mảng hoặc là các tham chiếu đến các ô có chứa số liệu dùng cho việc tính toán lợi suất thực tế. Values phải chứ ít nhất là 1 giá trị dương và 1 giá trị âm.
- IRR sử dụng thứ tự của các giá trị values như là thứ tự trong lưu động tiền mặt. Do vậy cần cẩn trọng trong việc nhập thứ tự chi trả hoặc thu nhập. IRR chỉ dùng để tính toán các giá trị số bên trong tham chiếu hoặc các mảng của values, còn các giá trị logic, các ô rỗng, text hoặc các giá trị lỗi đều sẽ bị bỏ qua.
- Guess là một con số % ước lượng gần với kết quả của IRR, nếu như bỏ qua thì guess được mặc định bằng 10%.
Ví dụ cách tính IRR
Công ty ABC đang cân nhắc đầu tư một dự án trong vòng 4 năm với vốn ban đầu là 6 tỷ, 2 năm đầu cần bổ sung vốn lưu động là 500 triệu. Với số vốn lưu động này sẽ thu hồi ở năm cuối cùng thực hiện dự án. Như vậy mỗi năm dự án sẽ tạo ra 2 tỷ. Hãy cho biết công ty có nên thực hiện dự án này hay không? Biết rằng r=10%.
Bài giải:
Ta có r = 10% ⇒ NPV=0,23
r = 10% thì NPV > 0 ⇒ tỷ lệ chiết khấu > 10%
Áp dụng công thức NPV ta có: r = 15% thì NPV = -0,44
⇒ IRR = 10% + 0,23 x (15% - 10%)/ (0,23 + 0,44) = 11,7%
Dự án này có IRR > r nên suy ra có thể lựa chọn thực hiện được.
Để được hỗ trợ và tư vấn về nghiệp vụ kế toán bạn có thể tham gia group: https://www.facebook.com/groups/giadinhketoanofficial. Tại đây mọi vấn đề của bạn sẽ được đội ngũ giảng viên tại kế toán Lê Ánh (là những kế toán trưởng, chuyên gia tài chính, Thuế đã có trên 10 năm kinh nghiệm) hỗ trợ nhiệt tình, và cùng trao đổi, thảo luận với cộng đồng hơn 16.000 người đã và đang làm nghề thực tế.
5. Ý nghĩa của chỉ số IRR - Chỉ số IRR bao nhiêu là tốt?

IRR là công cụ đắc lực trong việc đánh giá tính khả thi của dự án của các nhà đầu tư, giúp họ quyết định có nên xuống tiền hay không.
Vậy chỉ số IRR bao nhiêu là tốt? Không có một con số cụ thể nào cho giá trị này, tuy nhiên nếu giá trị IRR lớn hơn hoặc bằng giá trị chiết khấu thì cho thấy khả năng thu hồi vốn và sinh lời của dự án tốt. Còn nếu giá trị IRR nhỏ hơn giá trị chiết khấu thì cho thấy tính khả thi của dự án kém.
Xem thêm: Đòn Bẩy Tài Chính Là Gì? Phân Tích Hệ Số Đòn Bẩy Tài Chính
6. Mối quan hệ giữa chỉ số IRR và chỉ số NPV
- Trong một điều kiện kết quả nhất định thì cả IRR và NPV đều dùng để phản ánh độ khả thi của một dự án đầu tư. Cụ thể IRR phản ánh mức độ khả thi về khả năng thu hồi vốn còn NPV phản ánh độ khả thi về mặt tài chính.
- NPV được coi là một chỉ số thay thế cho IRR khi IRR không thực sự hiệu quả. Chỉ số thu hồi vốn nội bộ sẽ không được chính xác khi dự án đầu tư có thời gian quá ngắn hoặc quá dài hoặc là dòng tiền đầu tư không ổn định.
- Mối quan hệ giữa IRR và NPV là mối quan hệ tương hỗ, hai chỉ số này có nhiều điểm giống nhau đều dùng để đánh giá dự án. Do vậy nhà đầu tư có thể linh hoạt sử dụng 1 trong 2 chỉ số trên.
Trên đây là tất cả thông tin liên quan tới IRR mà chúng tôi muốn cung cấp đến bạn. Cảm ơn sự theo dõi của bạn!
Kế Toán Lê Ánh - Nơi đào tạo kế toán thực hành uy tín nhất hiện nay, đã tổ chức thành công rất nhiều khóa học nguyên lý kế toán, khóa học kế toán tổng hợp online/ offline, khóa học kế toán cao cấp, khóa học kế toán xây dựng, sản xuất, khóa học kế toán quản trị, khóa học kế toán thuế chuyên sâu, khóa học phân tích tài chính... và hỗ trợ kết nối tuyển dụng cho hàng nghìn học viên.
Nếu như bạn muốn tham gia các khóa học kế toán của trung tâm Lê Ánh thì có thể liên hệ hotline tư vấn: 0904.84.8855/ Mrs Lê Ánh
Ngoài các khóa học kế toán thì trung tâm Lê Ánh còn cung cấp các khóa học xuất nhập khẩu online - offline, khóa học hành chính nhân sự online - offline chất lượng tốt nhất hiện nay.
Thực hiện bởi: KẾ TOÁN LÊ ÁNH - TRUNG TÂM ĐÀO TẠO KẾ TOÁN SỐ 1 VIỆT NAM
 
					 
					 
					 
					 
					 
					 
					 
					 
					 
					 
					 
					 
					 
					 
					 
					 
					 
					 
					 
					 
					 
					 
					 
					 
					 
					 
					 
					 
					 
					 
					 
					 
					 
					 
					 
					 
					 
					 
					 
					 
					 
					 
					 
					 
					 
					 
                                             
                                             
                                             
                                             
                                             
                                             
                                             
                                             
			        				 
                    